Mesterséges intelligencia - 9. előadásValószínűségi hálók¶
Bayes szabály nehézségei¶
- priori feltételes és együttes valószínűségek begyűjtése nehéz és költséges
- ember rossz valószínűségbecslő
- Bayes-szabály sok számítást igényel
Valószínűségi hálók¶
-
más néven Bayes-háló → egy gráf
- csomópontok → valószínűségi változók egy halmaza
- csomópontok között → irányított élek halmaza (Y → X = Y-nak közvetlen befolyása van az X-re)
- minden csomópont → feltételes valószínűségi tábla → P(X | Szülők(X))
- a gráf nem tartalmaz irányított kört → DAG
- valószínűségi változó = egy állítás a problémáról
-
feltételes valószínűségi tábla - FVT
-
egyes csomóponti értékek feltételes valószínűsége, az adott sorhoz tartozó szülő feltétel esetén
-
ahol egy szülői feltétel → szülői csomópontok értékeinek egy lehetséges kombinációja
-
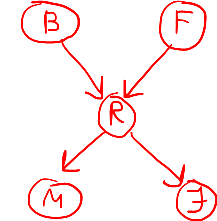
pl Betörés → Riasztás és Földrengés → Riasztás, akkor
B F P(R) = P(R|B ∧ F) i i 0.95 i h 0.95 h i 0.28 h h 0.001 -
Így → kevesebb dolgot kell számolni, mint ha az összes együttes valószínűséget néznénk (2n-1)
- HA minden mindennel összefügg → akkor ez sem segít :(
-
-
Bayes-hálók → White box modell (belső működése is értelmezhető)
- a Neurális hálók pl általában nem ilyenek, hanem black box modellek
-
együttes valószínűségi eloszlás dekomponált leírása
-

-
P(J M R ¬B ¬F) = = P(J | M R ¬B ¬F) * P(M R ¬B ¬F) =
= P(J | R) * P(M | R ¬B ¬F) * P(R ¬B ¬F) = = P(J | R) * P(M | R) * P(R | ¬B ¬F) * P(¬B) * P(¬F)
-
-
amit tudunk:
- minden csomópont feltételesen független a nem leszármazottaitól, ha a szülői adottak
- minden csomópont feltételesen független minden mástól, ha a markov-takarója adott
- markov-takaró: a szülei, a gyerekei, és a gyerekeinek a szülei.
- ez elszigeteli a modell többi részétől!
-
háló építésének lépései:
- határozzuk meg a problémát leíró változókat
- határozzunk meg egy sorrendet
- amíg marad érintett változó
- válasszuk a következő Xi-t, adjuk a hálóhoz
- legyenek Xi szülei a már gráfba levő csomópontok azon minimális halmaza, amiktől feltételes függetlenségben áll
- definiáljuk Xi feltételes valószínűségi tábláját
-
pozitívum az együttes valószínűségi eloszlásfüggvényekhez képest
- tömörebb, lokálisan strukturált (egy komponens csak korlátos másikkal van kapcsolatban)
- inkább lineáris komplexitás növekedés (mint exponenciális)
Naív Bayes-hálók¶
- egy szülőhöz tartozik több gyermek csomópont