Mesterséges intelligencia - 4. előadásKeresés ellenséges környezetben¶
Játékok típusai¶
- sokféle létezik
- tulajdonságok:
- determinisztikus vagy sztochasztikus? (van benne véletlen?)
- egy, kettő vagy több játékos?
- zéró összegű játék? (egy nyertes van, ha az egyik játékos jobb helyzetbe kerül a másik rosszabba)
- teljes információ (láthatjuk az állapotot)? (pl kártyajáték NEM ilyen)
- algoritmus = stratégiát ad → optimális/jó választ javasol minden egyes állapotban
- determinisztikus játékok formalizálása:
- állapotok: S
- játékosok: P={1..N}
- cselekvések: A
- állapotátmenet függvény: SxA → S
- célállapot teszt: S → {igaz, hamis}
- célállapot hasznosság: SxP → R
- megoldás egy játékos számára a stratégia ami S → A
- zéró összegű játék
- ágensek hasznossága ellenkező, ellenséges játékosok tiszta versengéssel
- nem zéró összegű játék
- ágensek hasznossága független
- kooperáció, közömbösség, versengés mind egyszerre megjelenhetnek
- egy állapot értéke → az adott állapotból elérhető legjobb kimenetel (hasznosság)
- nem végállapotok:

- végállapotok: V(s) = ismert
- nem végállapotok:
Minimax¶
-
ágens és ellenfele ellentétes célra törekednek
-
egyikük minimalizálni, másikuk maximalizálni akar egy adott értéket → minimax
-
minimax keresés
-
keresés állapottér gráfban
-
játékosok felváltva lépnek
-
minden csomópontra minimax érték számítása: legnagyobb elérhető hasznosság egy racionális (ügyesen játszó) ellenséggel szemben
-
végállapotok értéke kiszámítva a játék szabályaiból, és ez alapján születik döntés!
-
algoritmus:

-
milyen hatékony?
- gyakorlatilag egy kimerítő DFS → optimális, de nagy esetben nem lesz hozzá erőforrás
- idő: O(bm)
- tár: O(bm)
-
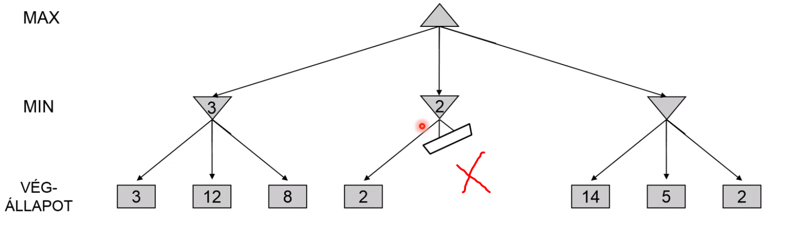
hogy lehet rajta javítani? → nyesések

- ne fejtsük ki azt az ágat, amit biztos nem fog választani (a min ág tuti 2-t rak oda, vagy kisebbet, így a max ágnak nem fogja megérni azt választani)
-
-
alfa-béta nyesés
- ötlet: feleslegesen kiértékelt ágak lenyesése, a játékosok ezeket biztosan nem választják, valamint gyerek csomóópontok sorrendezése ami növeli a hatékonyságot
- éppen az n csomópont MIN-ÉRTÉKét számítjuk ki, végig lépkedünk n gyerekein
- n gyerekeinek minimum értéke egyre csökken(het), mert MIN erre törekszik
- legyen m és m' két másik már megvizsgált csomópont, amelyeket MAX választhat
- ha n rosszabbá válik mint m vagy m', akkor MAX el fogja kerülni n-t, így nem kell megvizsgálni n további gyerekeit
- algoritmus:

- hatás:
- nyesés nem befolyásolja a gyökér csomópont minmax értékét!
- köztes csomópontok értéke eltérhet a valóságtól
- gyerek csomópontok jó sorrendezése növeli a nyesés hatékonyságát
- tökéletes sorrendezéssel:
- idő: O(bm)-ről O(bm/2), mert az elágazási tényező b = gyök b-re csökkent
- így dupla keresési mélység valósítható meg!
- példa:

Erőforrások limitációja¶
- probléma: keresés nem tud eljutni a levélcsomópontokig!
- megoldás: mélységkorlátozott keresés
- végállapotok hasznossága helyett egy kiértékelő függvény általi becslést fogunk adni
- probléma: optimális játék nem garantált
- ha bármikor le kell tudni állni → iteratívan mélyülő keresés kell
- kiértékelő függvény
- sakknál → jegyek súlyozott lineáris kombinációja f1(s) = (világos vezérek száma - sötét vezérek száma)
- ha sok értékes bábunk van még, az többet ér!
- kiértékelő függvények mindig pontatlanok
- számít, hogy milyen mélységben vagyunk → a sakk játék vége fele már érdemes kiszámítani az optimális lépést!
- sakknál → jegyek súlyozott lineáris kombinációja f1(s) = (világos vezérek száma - sötét vezérek száma)
Bizonytalan kimenetelek¶
Legrosszabb eset vs átlagos eset¶
- ötlet: bizonytalan kimeneteleket a véletlen irányítja, nem egy ellenfél
Expectimax keresés¶
- explicit véletlen → kockadobás
- véletlenszerűen viselkedő ellenfelek → PacMan szellemek véletlen mozgása
- cselekvés nem sikerül → robot mozgásánál megcsúszik a kerék
- fontos: az értékeknek az átlagos kimenetelt kellene tükrözniük (expectimax), nem pedig a lehető legrosszabb (minimax) kimenetelt
- expectimax keresés
- ötlet: számítsuk ki az átlagos pontszámot (hasznosságot) optimális játékot feltételezve
- max csomópontok → mint minmax keresésnél
- min csomópontok → véletlenszerűek, bizonytalan a kimenetel
- kérdés: várható érték = gyerekcsomópontok súlyozott átlaga
- algoritmus:

- hasznosságot súlyozzuk a bekövetkezésük valószínűségével!
- itt is lehet nyesni
valószínűségek¶
- véletlen változó → eseményt reprezentél, melynek kimenetele nem ismert
- valószínűségi eloszlás → súlyok hozzárendelése kimenetelekhez
- valószínűségi axiómák: valószínűségek nem negatívak, összes lehetséges kimenetel valószínűségeinek összege 1
- keresésnél használt valószínűség kiszámítása
- lehet egyszerű egyenletes eloszlás, vagy bonyolultabb nagy számítási igényű számolás
- fontos a modellezésnél: ne legyen se túl pesszimista, se túl optimista!
| támadó szellem | random szellem | |
|---|---|---|
| minmax pacman | erre lett kitalálva | ezt is jól kezeli |
| expectimax pacman | :( ez nagyon nem jó | ez is jól kezeli, és jobban is teljesít itt a minmax-nál |
Kevert rétegű játék¶
- expectiminimax
- környezet egy plusz véletlen ágens, aki a minmax játékos után lép
Monte Carlo Tree Search¶
- ismételt véletlen mintavétel, ezen minták gyakorisága alapján közelítjük a nehezen számítható értékeket
- MCTS
- Kiválasztás → fa mely részét bontsuk ki tovább (már exploration - már feltárttal foglalkozunk, exploitation- újat tárunk fel)
- Terjeszkedés → következő csomópont kiválasztása (már bevált ág folytatása VAGY további lehetséges lépés felfedezése)
- Szimuláció → véletlenszerű módon leszimuláljuk a játék további részét
- Visszaterjesztés → ennek eredményét beírjuk a fába

- fontos: kihasználás és feltárás közti arány → azt kell jól csinálni!
